Verbotener Weichmacher als Verunreinigung in Sonnenschutzmitteln? - Erste Untersuchungsergebnisse
Team Kosmetik des CVUA Karlsruhe

Abb.1: Sonnenschutzmittel (@CVUA Karlsruhe)
Hintergrund: Nachweis von Mono-n-hexyl-Phthalat (MnHexP) in Kinder- und Erwachsenenurin
Ende Januar 2024 veröffentlichte das Landesamt für Natur, Umwelt und Verbraucherschutz Nordrhein-Westfalen (LANUV) Ergebnisse einer Nachuntersuchung von Urinproben aus einem Überwachungsprogramm zur Schadstoffbelastung von Kindern. Anlass für die Nachuntersuchung war die Recherche einer Journalistin. Sie hatte bei einzelnen Personen für einen Bericht Urin analysieren lassen, in welchem MnHexP gefunden wurde. Die Ergebnisse des LANUV zeigten, dass in 26 % der untersuchten Proben aus 2017/18 MnHexP gemessen werden konnte, im Zeitraum 2020/21 wurde der Stoff bereits in 61 % der Proben gefunden, mit im Durchschnitt angestiegenen Gehalten [1]. Als vermeintlicher Vorläufer wird die Substanz Di-n-hexyl-Phthalat (DnHexP) diskutiert, welche als reproduktionstoxisch (fortpflanzungsschädigend) eingestuft ist und dessen Verwendung in der EU, beispielsweise in kosmetischen Mitteln, seit 2019 verboten ist [1, 2].
Auch das Umweltbundesamt (UBA) prüfte daraufhin seine aktuellen Daten aus der „sechsten Deutschen Umweltstudie zur Gesundheit“ auf das Vorkommen von MnHexP bei Erwachsenen. Die Substanz wurde in ca. 37 % der Urinproben nachgewiesen [3]. Die Auswertung der zugehörigen Fragebögen, welche die Teilnehmenden ausfüllen mussten, führte zu einem ersten Verdacht, dass die mögliche Vorläufersubstanz DnHexP aus Sonnenschutzmitteln stammen könnte [4]. Zwischenzeitlich ist bekannt, dass DnHexP eine mögliche Verunreinigung des UV-Filters Diethylamino hydroxybenzoyl hexyl benzoat (DHHB) sein kann [5]. In der Sicherheitsbewertung des Scientific Committee on Consumer Products (SCCP) aus dem Jahr 2008, die im Rahmen der Anpassung des zulässigen Höchstgehalts durchgeführt wurde, war DnHexP als Verunreinigung des UV-Filters DHHB nicht aufgeführt (siehe Infokasten).
Regelungen für verbotene Stoffe wie DnHexP in kosmetischen Mitteln
Die VO (EG) Nr. 1223/2009 (EU-Kosmetikverordnung) legt Anforderungen für die Sicherheit kosmetischer Mittel für die menschliche Gesundheit fest. Durch sie sind einige Phthalate, wie das DnHexP, verboten, weil es beispielsweise als fortpflanzungsschädigend eingestuft wurde [2].
Diese Verbotsregelung wurde für DnHexP in kosmetischen Mitteln 2019 umgesetzt. Dies bedeutet, dass DnHexP seitdem nur noch unbeabsichtigt und in technisch unvermeidbaren Konzentrationen in kosmetischen Produkten vorhanden sein darf. Bedingung hierfür ist, dass die Sicherheit des kosmetischen Mittels durch den verbotenen Stoff nicht beeinträchtigt wird.
Die EU-Kosmetikverordnung überträgt die Verantwortung für die Sicherheit kosmetischer Mittel einer „verantwortlichen Person“. Dies ist eine Person mit Sitz innerhalb des Europäischen Wirtschaftsraums, deren Adresse immer auf dem kosmetischen Mittel angegeben sein muss. Es kann sich hierbei um den Hersteller, Importeur, Händler oder eine juristische Person handeln.
Ist ein verbotener Stoff vorhanden, muss die verantwortliche Person dies in einem Sicherheitsbericht bewerten und den Nachweis erbringen, dass der vorhandene Gehalt „technisch unvermeidbar“ ist. Wichtig ist auch, die Sicherheitsbewertung bei neuen Erkenntnissen anzupassen.
Es dürfen nur kosmetische Mittel in Verkehr gebracht werden, deren Sicherheit belegt ist. Der wissenschaftliche Ausschuss für Verbrauchersicherheit (Scientific Committee on Consumer Safety, SCCS, vormals SCCP) hat die Aufgabe, Stellungnahmen zu Gesundheits- und Sicherheitsrisiken von Konsumgütern (z. B. kosmetische Mittel) abzugeben [6]. DnHexP war nicht Bestandteil der Stellungnahme (Opinion) als Verunreinigung zu dem UV-Filter DHHB. Aus diesem Grund stand diese Verunreinigung bei der Untersuchung und Beurteilung von Sonnenschutzmitteln bisher nicht im Fokus [7].
Unsere Untersuchungen
Das CVUA Karlsruhe hat in den Jahren 2020 bis 2023 nur eine kleine Auswahl an kosmetischen Mitteln auf Phthalate, einschließlich DnHexP, mittels HPLC-DAD untersucht. Sonnenschutzmittel standen dabei bisher nicht im Fokus (siehe Infokasten).
Um dem Verdacht nachzugehen, dass die erhöhten MnHexP-Gehalte in Urin durch kontaminierte Sonnenschutzmittel verursacht sein könnten, wurde am CVUA Karlsruhe ad-hoc eine Methode zum Nachweis von DnHexP entwickelt. Mit Hilfe der Hochleistungsflüssigkeitschromatographie-Tandemmassenspektrometrie (LC-MS/MS) nach Lösemittelextraktion mit Isopropanol unter Verwendung eines Ultraschallhomogenisators gelang in kurzer Zeit der empfindliche Nachweis von DnHexP in Sonnenschutzmitteln mit einer Nachweisgrenze von 0,2 mg/kg.
Mit dieser Methode wurden 57 verschiedene Sonnenschutzmittel aus den Jahren 2020 (11 Proben), 2021 (6 Proben) und 2023 (40 Proben) zunächst in Einzelbestimmungen untersucht. Die Gehalte der in den Produkten verwendeten UV-Filter waren aus der regulären Überwachung der Sonnenschutzmittel bekannt. In 36 von 57 untersuchten Sonnenschutzmitteln war DnHexP nicht nachweisbar (< 0,2 mg/kg). Davon enthielten 17 Produkte nicht den UV-Filter DHHB, der als mögliche Quelle im Verdacht steht. In 19 Proben mit DHHB-Gehalten zwischen 1,0 und 8,4 % war DnHexP ebenfalls nicht nachweisbar (siehe Abbildung 2).

Abb.2: Darstellung des Nachweises von DnHexP in 57 untersuchten Sonnenschutzmitteln mit und ohne DHHB als UV-Filter
Unsere Ergebnisse lassen den Schluss zu, dass es möglich ist bei der Herstellung kosmetischer Mittel DHHB-Rohstoffe einzusetzen, in denen die Verunreinigung DnHexP nur in nicht nachweisbaren Gehalten vorkommt.
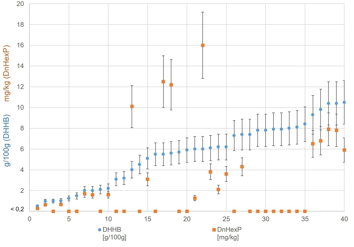
DnHexP konnte in 21 Produkten mit Gehalten von 0,3 bis 16 mg/kg und einem Median von 3,8 mg/kg bestimmt werden. In allen diesen Produkten war DHHB mit Gehalten von 0,5 bis 10 % als UV-Filter enthalten. Gehalte zwischen 10 mg/kg und 16 mg/kg waren lediglich in vier Proben von zwei Herstellern enthalten. Insgesamt 40 Sonnenschutzprodukte enthielten den UV-Filter DHHB. In mehr als der Hälfte davon, konnte DnHexP gefunden werden. Eine Korrelation zwischen den Gehalten an DnHexP und DHHB konnte nicht festgestellt werden.
Die Ergebnisse mit den zugehörigen Messunsicherheiten sind in Abbildung 3 grafisch dargestellt.

Abb.3: Graphische Darstellung der Gehalte an DnHexP (mg/kg) und DHHB (g/100g) in 40 Sonnenschutzprodukten mit DHHB als UV-Filter mit Messunsicherheit
Ausblick
Die Verwendung von DHHB als UV-Filter in Sonnenschutzprodukten ist seit 2022 stark angestiegen. Dies zeigen unsere Ergebnisse der letzten Jahre (siehe Abb. 4).

Abb.4: Darstellung der Verwendung von DHHB als UV-Filter in Sonnenschutzmitteln im Verlauf der letzten Jahre in den von dem CVUA KA untersuchten Proben
Dies ist vor allem darauf zurück zu führen, dass DHHB als Ersatz für den UV-Filter Octocrylen eingesetzt wird, welcher auf Grund seiner möglichen Belastung mit Benzophenon in die Schlagzeilen geraten war (siehe unser Artikel: Sonnenschutzmittel: Benzophenon - gefährlicher Stoff kann aus UV-Filter Octocrylen entstehen).
Die Sachverständigen des CVUA Karlsruhe regen dringend an, die Qualität des entsprechenden Rohstoffs genau zu überprüfen, da es zum gesundheitlichen Schutz der Verbraucherinnen und Verbraucher sehr wichtig ist, weiterhin wirksame und sichere UV-Filter zur Verfügung zu haben.
Unserer Meinung nach sollte weiterhin überprüft werden, welche weiteren Eintragswege für MnHexP in den Urin des Menschen denkbar und möglich sind. Eine Korrelation der gefundenen Gehalte in Sonnenschutzmitteln und der Nachweise in Urinproben sollte unter Einbeziehung aller bisher bekannten Informationen erfolgen.
Dabei sollte jedoch nie vergessen werden, den extrem wichtigen Schutz vor UV-Strahlung und damit die Prävention vor Hautkrebs aufrecht zu halten (siehe Infokasten 2).
Schutz vor UV-Strahlung extrem wichtig!
UV-Strahlung ist nach wie vor die Hauptursache für die Entstehung von Hautkrebs und kann zahlreiche gesundheitliche Schäden verursachen. Schützen Sie sich und Ihre Kinder vor UV-Strahlung.
Das Bundesamt für Strahlenschutz empfiehlt, dass man sich vor UV-Strahlung schützt, indem man - in dieser Reihenfolge -
1. Schatten aufsucht oder spätestens ab einem UV-Index 8 im Haus bleibt,
2. sich richtig anzieht (UV-Schutzkleidung) und eine gute Sonnenbrille trägt
3. unbedeckte Körperstellen mit einem Sonnenschutzmittel mit hohem Lichtschutzfaktor eincremt. [8]
Literatur
[1] https://www.lanuv.nrw.de/fileadmin/lanuv/gesundheit/pdf/2024/2024-01_Nachuntersuchung_DnHexP.pdf abgerufen am 29.02.2024.
[2] Verordnung (EG) Nr. 1223/2009 des Europäischen Parlaments und des Rates vom 30. November 2009 über kosmetische Mittel, konsolidierte Fassung vom 01.12.2023.
[3] https://www.umweltbundesamt.de/themen/fund-eines-weichmachers-in-urinproben-fragen abgerufen am 29.02.2024.
[4] https://www.spiegel.de/wissenschaft/umweltbundesamt-verdaechtigt-sonnenschutzmittel-als-quelle-fuer-verbotenen-weichmacher-a-c2d5339e-8e7b-4ab2-99f7-fed9bf8fc7f1 abgerufen am 29.02.2024.
[5] Patent: WO2022129284A1 METHOD FOR OBTAINING CRYSTALLINE DIETHYLAMINO HYDROXYBENZOYL HEXYL BENZOATE aus der Europäischen Patent-Datenbank, Eintrag von 2022.
[6] https://health.ec.europa.eu/scientific-committees/scientific-committee-consumer-safety-sccs_en?prefLang=de&etrans=de abgerufen am 01.03.2024
[7] https://ec.europa.eu/health/ph_risk/committees/04_sccp/docs/sccp_o_130.pdf abgerufen am 01.03.2024
[8] https://www.bfs.de/DE/themen/opt/uv/schutz/kleidung/kleidung_node.html abgerufen am 29.02.2024.